2023年度中国乘用车企业平均燃料消耗量与新能源汽车积分情况公告

信息来源:工业和信息化部装备工业一司 发布时间:2024-07-11 浏览:1585


导 读

工业和信息化部、商务部、海关总署、市场监管总局等四部门近日联合公告2023年度中国乘用车企业平均燃料消耗量与新能源汽车积分情况。2023年度,中国境内119家乘用车企业共生产/进口乘用车2250.2万辆(含新能源乘用车,不含出口乘用车),行业平均整车整备质量为1644千克,平均燃料消耗量实际值为3.78升/100公里,燃料消耗量正积分为 4128.7万分,燃料消耗量负积分为524.3万分,新能源汽车正积分为2128.8万分,新能源汽车负积分为51万分。

公 告

2024年 第16号

根据《乘用车企业平均燃料消耗量与新能源汽车积分并行管理办法》(工业和信息化部、财政部、商务部、海关总署、质检总局令 第44号)和《关于修改〈乘用车企业平均燃料消耗量与新能源汽车积分并行管理办法〉的决定》(工业和信息化部、财政部、商务部、海关总署、市场监管总局令 第53号)要求,现将2023年度中国乘用车企业平均燃料消耗量与新能源汽车积分情况予以公告。

2023年度,中国境内119家乘用车企业共生产/进口乘用车2250.2万辆(含新能源乘用车,不含出口乘用车,下同),行业平均整车整备质量为1644千克,平均燃料消耗量实际值(WLTC 工况,下同)为3.78升/100公里,燃料消耗量正积分为 4128.7万分,燃料消耗量负积分为524.3万分,新能源汽车正积分为2128.8万分,新能源汽车负积分为51万分。

其中,95家境内乘用车生产企业累计生产乘用车2178.7万辆,平均整车整备质量为1632千克,平均燃料消耗量实际值为 3.68升/100公里,燃料消耗量正积分为4106万分,燃料消耗量负积分为441.5万分,新能源汽车正积分为2121.8万分,新能源汽车负积分为48.4万分。24家进口乘用车供应企业进口乘用车71.6万辆,平均整车整备质量为2007千克,平均燃料消耗量实际值为7.34升/100公里,燃料消耗量正积分为22.7万分,燃料消耗量负积分为82.7万分,新能源汽车正积分为7万分,新能源汽车负积分为2.6万分。

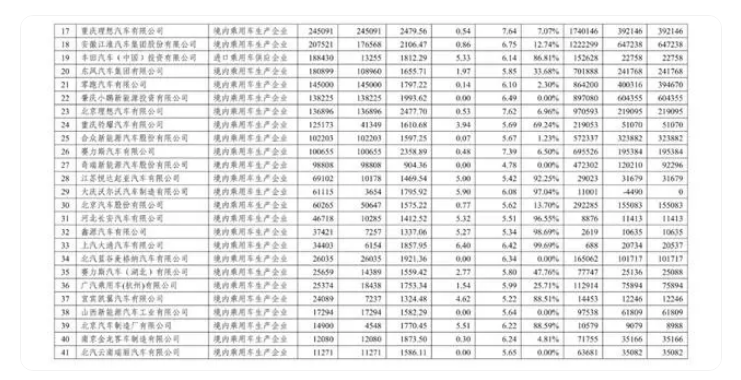
附件:2023年度中国乘用车企业平均燃料消耗量与新能源汽车积分核算情况表

工业和信息化部

商务部

海关总署

市场监督管理总局

2024年6月30日

微信图片_20240711142305.png微信图片_20240711142314.png微信图片_20240711142319.png微信图片_20240711142323.png微信图片_20240711142329.png微信图片_20240711142333.png